Separation of HPLC Peptide Standard Mixture on an Ascentis® Express Peptide ES-C18 Column
Abstract
A simple and efficient liquid chromatography method with ultraviolet detection and mass spectrometry (LC-UV-MS) was developed for the separation of an HPLC peptide standard mixture (H2016) using an Ascentis® Express Peptide 160 Å ES-C18 column.
Section Overview
Introduction
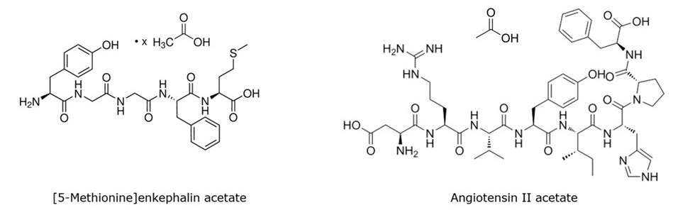
The HPLC peptide standard mixture (H2016) contains a set of five peptides: Gly-Tyr, Val-Tyr-Val, methionine enkephalin acetate, leucine enkephalin and angiotensin II acetate. This combination is used for calibration and validation of HPLC systems to ensure accurate and reliable peptide separation and detection. The reference material is widely used in food and beverage analysis, as well as in peptide and protein research and development.1-3


Figure 1.Structures of peptides contained in the HPLC peptide standard mixture (H2016).
The Ascentis® Express Peptide 160 Å ES-C18 U/HPLC column is specifically designed for efficient peptide separations. The column's unique stationary phase, with an extended operating pH range down to pH 1, enhances resolution and sensitivity in peptide analysis. The optimized pore size of 160 Å, combined with superficially porous particle (SPP) technology, enables rapid and efficient separations, making the column well suited for complex peptide mixtures, as demonstrated using the HPLC peptide standard mixture (H2016).
Experimental
Reagent Preparation
Mobile phase A: Dissolve 1.26 g of ammonium formate in 1000 mL of water to obtain a 20 mM solution of ammonium formate in water. Filter using a 0.22 µm PVDF membrane filter and sonicate for 10 minutes to degas.
Standard Preparation
Dissolve 1 mg of HPLC peptide standard mixture (H2016) in 1 mL of water. Mix 50 µL of this solution with 50 µL of water to obtain a 500 µg/mL solution of the HPLC peptide standard mixture.
LC-MS Analysis
The HPLC peptide standard mix solution was analyzed on an Ascentis® Express Peptide 160 Å ES-C18 column under conditions stated in Tables 1 and 2.

Figure 2.Chromatogram demonstrating the separation of the HPLC peptide standard mixture (H2016) using UV detection (220 nm). (Peal IDs: 1. Gly-Tyr, 2., Val-Tyr-Val, 3. methionine enkephalin acetate, 4. leucine enkephalin, 5. angiotensin II acetate).


Figure 3.Top: TIC chromatogram demonstrating the separation of the HPLC peptide standard mixture (H2016); bottom: Mass spectra of (a) Gly-Tyr, (b) Val-Tyr-Val, (c) methionine enkephalin acetate, (d) leucine enkephalin, and (e) angiotensin II acetate.
Conclusion
Based on the achieved peak resolution and low relative standard deviation (% RSD) values for peak areas across six replicates injections (<1.0%), the developed method for the separation of the HPLC peptide standard mixture (H2016) using a superficially porous particle (SPP) Ascentis® Express Peptide 160 Å ES-C18 column demonstrated high efficiency and reliability for peptide analysis. The method effectively resolved all five peptides within a 25-minute run, with all peaks eluting within 17 minutes and resolution values >5.9. Additionally, the observed tailing factors indicated efficient chromatographic performance and compliance with USP chapter<621> specifications (0.8-1.8).
Related Products
HPLC Column
Reference Material, Solvents, and Accessories
References
如要继续阅读,请登录或创建帐户。
暂无帐户?