跳转至内容
Merck
CN

SML3220

GSK923295

≥95% (HPLC)

别名:

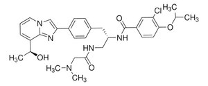
3-Chloro-N-{(1S)-2-[(N,N-dimethylglycyl)amino]-1-[(4-{8-[(1S)-1-hydroxyethyl]imidazo[1,2-a]pyridin-2-yl}phenyl)methyl]ethyl}-4-[(1-methylethyl)oxy]benzamide, GSK 923295, GSK 923295A

登录 查看组织和合同定价。

选择尺寸


关于此项目

经验公式(希尔记法):
C32H38ClN5O4
化学文摘社编号:
分子量:
592.13
UNSPSC Code:
12352200
NACRES:
NA.77
MDL number:
Assay:
≥95% (HPLC)
Form:
powder
Quality level:
技术服务
需要帮助?我们经验丰富的科学家团队随时乐意为您服务。
让我们为您提供帮助
技术服务
需要帮助?我们经验丰富的科学家团队随时乐意为您服务。
让我们为您提供帮助

产品名称

GSK923295, ≥95% (HPLC)

SMILES string

Clc1c(ccc(c1)C(=O)N[C@H](CNC(=O)CN(C)C)Cc2ccc(cc2)c3nc4[n](c3)C=CC=C4[C@@H](O)C)OC(C)C

InChI key

WHMXDBPHBVLYRC-OFVILXPXSA-N

assay

≥95% (HPLC)

form

powder

color

white to beige

solubility

DMSO: 2 mg/mL, clear

storage temp.

-10 to -25°C

Quality Level

Biochem/physiol Actions

GSK923295 is an allosteric inhibitor of CENP-E kinesin motor ATPase activity. It inhibits release of inorganic phosphate and stabilizes CENP-E motor domain interaction with microtubules, which causes failure of metaphase chromosome alignment and induces mitotic arrest. GSK923295 induces tumor cell apoptosis and tumor regression
Selective and potent allosteric inhibitor of CENP-E kinesin motor ATPase activity

存储类别

11 - Combustible Solids

wgk

WGK 3

flash_point_f

Not applicable

flash_point_c

Not applicable

法规信息

新产品
此项目有

历史批次信息供参考:

分析证书(COA)

Lot/Batch Number

没有发现合适的版本?

如果您需要特殊版本,可通过批号或批次号查找具体证书。

已有该产品?

在文件库中查找您最近购买产品的文档。

访问文档库

Discovery of the First Potent and Selective Inhibitor of Centromere-Associated Protein E: GSK923295
ACS Medicinal Chemistry Letters, 1(1), 30-34 (2010)
Zhen-Yu She et al.
Cell death discovery, 6, 25-25 (2020-05-01)
Kinesin-7 CENP-E is an essential kinetochore motor required for chromosome alignment and congression. However, the specific functions of CENP-E in the spermatogenic cells during spermatogenesis remain unknown. In this study, we find that CENP-E proteins are expressed in the spermatogonia
Rudolf Pisa et al.
Cell chemical biology, 27(7), 850-857 (2020-05-23)
Aberrant chromosome numbers in cancer cells may impose distinct constraints on the emergence of drug resistance-a major factor limiting the long-term efficacy of molecularly targeted therapeutics. However, for most anticancer drugs we lack analyses of drug-resistance mechanisms in cells with

我们的科学家团队拥有各种研究领域经验,包括生命科学、材料科学、化学合成、色谱、分析及许多其他领域.

联系客户支持