
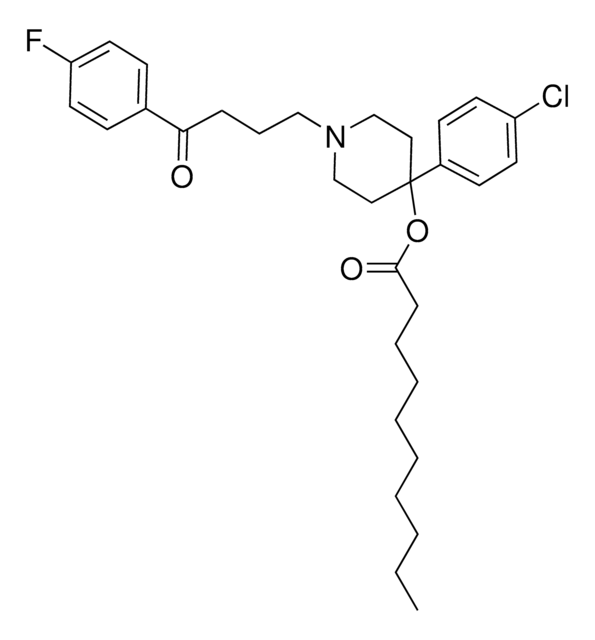
Haloperidol Decanoate

别名:
Decanoic acid 4-(4-chlorophenyl)-1-[4-(4-fluorophenyl)-4-oxobutyl]-4-piperidinyl ester, Haldol decanoate
经验公式(希尔记法):
C31H41ClFNO3
化学文摘社编号:
分子量:
530.11
Products
产品分类
品牌
颜色
分子量
制造商
物质形态
机构
包装形式
质量水平
应用
包装大小
API分类
标准物质类型
Showing 1-4 of 4
比较
产品编号
说明
价格