跳转至内容
Merck
CN
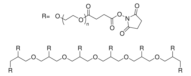
8arm-PEG15K-Succinimidyl Succinate Hexaglycerol core, average Mn 15000

8arm-PEG15K-Succinimidyl Succinate

8arm-PEG15K-Succinimidyl Succinate Hexaglycerol core, average Mn 15000
线性分子式:
R(O(CH2CH2O)nCOCH2CH2COOC4H4O2N)8

Products

品牌
物质形态
聚合物成分
聚合物类型
Showing 1-1 of 1