跳转至内容
Merck
CN

有机硅试剂

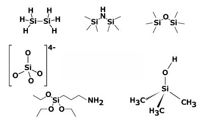
常见的有机硅试剂结构包括乙硅烷、硅烷醇、硅氮烷、硅酸盐、硅氧烷和三烷氧基硅烷

在制造粘合剂、密封剂、汽车润滑剂、计算机芯片和保健产品(如护肤产品、小分子药物和隐形眼镜)的干洗溶剂中,我们的有机硅试剂及相关硅试剂广泛用于合成及制造应用。  

由于有机金属试剂与有机卤化物在过渡金属催化的交叉偶联中存在固有的缺点,因此有机硅试剂成为了合适的替代物。有机硅烷化合物无毒、化学稳定性高、分子量低,非常适合用作与有机卤化物和拟卤化物交叉偶联的亲核配体。通过钯催化的有机硅烷交叉偶联构建新C-C键的条件温和,但需要亲核助催化剂才能提供所需交叉偶联产物的高产率。交叉偶联反应的副产物是聚硅氧烷,可以通过色谱法(硅胶或反相)或蒸馏等常规方法轻松去除。我们很荣幸能够提供各种硅化合物,它们是用于钯催化交叉偶联反应的高效偶联配体,可使你比以往任何时候都更接近突破。


Products





Compare
Product Number
Product Name
Product Description
Pricing

相关产品资源

文章:有机硅烷醇


乙硅烷

乙硅烷可通过非晶硅的化学气相沉积而广泛用于制造光伏器件(例如硅片、薄膜晶体管、太阳能电池),该非晶硅是乙硅烷热分解的沉积产物。在胶束催化条件下,乙硅烷还可通过甲硅烷基碳酸酯的甲硅烷基亲核取代反应合成烯丙基硅烷。基于 H2O介质的温和反应条件使得其可用于一锅法合成测序。

硅烷醇

钯催化的硅化合物交叉偶联已迅速被人们所接受,并作为一些更常见方法的合适替代方法,例如:Stille(Sn)、Kumada(Mg)、Suzuki(B)和Negishi(Zn)交叉偶联,其经常需要使用硅烷醇。在氟化物活化源的存在下,烯基(二甲基)硅烷醇容易与芳基和烯基卤化物反应,以使偶联的加合物具有非常好的收率。或者,也可以在碱性活化下使用TMSOK在原位生成亲核硅烷醇盐的情况下进行Pd催化的交叉偶联。在碱性活化下进行交叉偶联可以实现在氟化物敏感的甲硅烷基保护基存在下进行反应的能力。在相似条件下,炔基硅烷醇也是一种活性偶合剂。

硅氮烷

硅氮烷是通过氯硅烷的氨解或氨解作用所制备的有机-无机杂化材料家族。目前研究人员已经合成并对各种硅氮烷和硅氮烷聚合物进行了研究,它们可作为碳氮化硅陶瓷、涂料、表面改性剂和硅橡胶添加剂的前体。它们可通过利用SiAN键的反应性除去痕量水或SiAOH基团,有效地阻止了聚硅氧烷链的重排降解,从而提高了硅橡胶的热稳定性。硅氮烷还可用于修饰有机中间体,从而实现或促进相关过程的化学反应,并将硅化学物质掺入成品中以改变其物理性质。

硅酸盐

大多数硅酸盐是在材料科学和工程中广泛使用的氧化物。掺杂的硅酸盐可赋予材料特定的性能。这些产品可用于干凝胶和二氧化硅溶胶-凝胶的合成、形成六角形介孔二氧化硅层、形成H+-麦烃硅钠石插层、以及用于生物工程的混合金属生物活性玻璃和其他生物活性材料的研究。

硅氧烷

作为流行的Stille和Suzuki偶联反应的可行替代方法,使用硅化合物作为金属转移试剂已引起了广泛的关注,这主要是由于其无毒副产物的形成以及试剂在许多反应条件下的稳定性。基于硅的偶联反应可以在钯或铑催化剂的存在下使用芳基、杂芳基或烯基卤化物和烷氧基硅烷进行。在目前可用的各种类型的硅化合物中,烷氧基硅烷在偶联反应中最有效。三烷氧基硅烷是一种重要的甲硅烷基化剂,并通过在标准溶液沉积条件下对基材进行改性而广泛用于表面官能化。作为Stille和Suzuki偶联的一种实用替代方法,将铑催化的三烷氧基硅烷加成到羰基化合物上是一种可行的替代方法。




登录以继续。

如要继续阅读,请登录或创建帐户。

暂无帐户?