Skip to Content
Merck
CN

8.53088

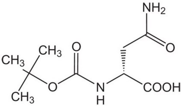
Boc-D-Asn-OH

Novabiochem®

Synonym(s):

Boc-D-Asn-OH, N-α-t.-Boc-D-asparagine

Sign In to View Organizational & Contract Pricing.

Select a Size


About This Item

Empirical Formula (Hill Notation):
C9H16N2O5
CAS Number:
Molecular Weight:
232.23
UNSPSC Code:
12352209
NACRES:
NA.22
MDL number:
Technical Service
Need help? Our team of experienced scientists is here for you.
Let Us Assist
Technical Service
Need help? Our team of experienced scientists is here for you.
Let Us Assist

SMILES string

N([C@H](CC(=O)N)C(=O)[O-])C(=O)OC(C)(C)C

InChI

1S/C9H16N2O5/c1-9(2,3)16-8(15)11-5(7(13)14)4-6(10)12/h5H,4H2,1-3H3,(H2,10,12)(H,11,15)(H,13,14)/p-1/t5-/m1/s1

InChI key

FYYSQDHBALBGHX-RXMQYKEDSA-M

product line

Novabiochem®

assay

≥98% (TLC)

form

powder

reaction suitability

reaction type: Boc solid-phase peptide synthesis

manufacturer/tradename

Novabiochem®

application(s)

peptide synthesis

storage temp.

2-30°C

Quality Level

Looking for similar products? Visit Product Comparison Guide

General description

Standard building block for introduction of D-asparagine amino-acid residues by Boc SPPS.

Associated Protocols and Technical Articles
Cleavage and Deprotection Protocols for Boc SPPS

Analysis Note

Colour (visual): white to slight yellow to beige
Appearance of substance (visual): powder
Identity (IR): passes test
Optical rotation α 25/D (c=1 in DMF): +6.0 - +8.0 °
Purity (TLC(CMA1)): ≥ 98 %
Purity (TLC(0110)): ≥ 98 %
Solubility (1 mmole in 2 ml DMF): clearly soluble

To see the solvent systems used for TLC of Novabiochem® products please click here.

Other Notes

Replaces: 04-13-0005

Legal Information

Novabiochem is a registered trademark of Merck KGaA, Darmstadt, Germany

Storage Class

11 - Combustible Solids

wgk

WGK 3

flash_point_f

Not applicable

flash_point_c

Not applicable

Regulatory Information

新产品
This item has

Certificates of Analysis (COA)

Search for Certificates of Analysis (COA) by entering the products Lot/Batch Number. Lot and Batch Numbers can be found on a product’s label following the words ‘Lot’ or ‘Batch’.

Already Own This Product?

Find documentation for the products that you have recently purchased in the Document Library.

Visit the Document Library

Our team of scientists has experience in all areas of research including Life Science, Material Science, Chemical Synthesis, Chromatography, Analytical and many others.

Contact Technical Service