Sign In to View Organizational & Contract Pricing.
Select a Size
Change View
About This Item
Empirical Formula (Hill Notation):
C60H80FNO2
Molecular Weight:
866.28
UNSPSC Code:
12352101
PubChem Substance ID:
NACRES:
NA.22
form
powder
mp
136-141 °C
functional group
amine, hydroxyl
SMILES string
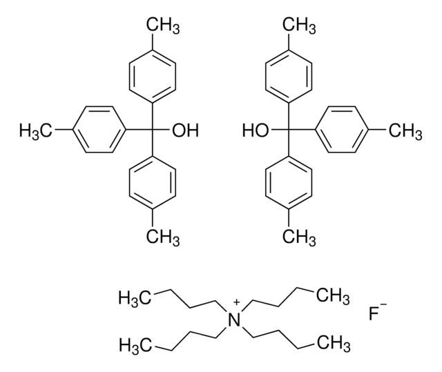
OC(C1=CC=C(C)C=C1)(C2=CC=C(C)C=C2)C3=CC=C(C)C=C3.OC(C4=CC=C(C)C=C4)(C5=CC=C(C)C=C5)C6=CC=C(C)C=C6.CCCC[N+](CCCC)(CCCC)CCCC.[F-]
InChI
1S/2C22H22O.C16H36N.FH/c2*1-16-4-10-19(11-5-16)22(23,20-12-6-17(2)7-13-20)21-14-8-18(3)9-15-21;1-5-9-13-17(14-10-6-2,15-11-7-3)16-12-8-4;/h2*4-15,23H,1-3H3;5-16H2,1-4H3;1H/q;;+1;/p-1
InChI key
BWOIZLRULLMREE-UHFFFAOYSA-M
Application
Nucleophilic fluorinating reagent is a more convenient crystalline solid for handling and storage compared to tetrabutylammonium fluoride hydrate (Aldrich 241512). As reported by Engle and Gouverneur, these solids display comparable reactivity on similar substrates.
signalword
Warning
hcodes
Hazard Classifications
Eye Irrit. 2 - Skin Irrit. 2 - STOT SE 3
target_organs
Respiratory system
Storage Class
11 - Combustible Solids
wgk
WGK 3
flash_point_f
Not applicable
flash_point_c
Not applicable
Regulatory Information
新产品
This item has
Choose from one of the most recent versions:
Already Own This Product?
Find documentation for the products that you have recently purchased in the Document Library.
Global Trade Item Number
| SKU | GTIN |
|---|---|
| 809578-1G | 04061826655610 |
