Multiplex Detection with the xMAP® INTELLIFLEX® System
View a demonstration of the compatibility of MILLIPLEX® assays with the new xMAP® INTELLIFLEX® system and the data reproducibility of multiplex detection across the different xMAP® platforms. The MILLIPLEX® Human Cytokine/Chemokine/Growth Factor Panel A was run on the Luminex® 200™ system and with the Luminex® 200™ mode on the INTELLIFLEX® system to gather the data.
Section Overview
xMAP® INTELLIFLEX® Platform
The new xMAP® INTELLIFLEX® platform gives users the flexibility to choose four different modes which helps to configure the detection hardware at a standard laser power and provides the researcher with a secondary option to select "Low PMT" or "High PMT." Each selection is intended to produce fluorescence values comparable to equivalent selection on a Luminex® instrument (Luminex® 200™ and FLEXMAP 3D® systems). For this study, the Luminex® 200™ mode (Low PMT) on the xMAP® INTELLIFLEX® system was used to compare against the Luminex® 200™ instrument. The Luminex® 200™ platform includes a Luminex® 200™ instrument, Luminex® XYP™ plate handling platform, Luminex® Sheath Fluid PLUS delivery system, xPONENT® software, and a personal computer (PC).
The INTELLIFLEX® platform includes the xMAP® INTELLIFLEX®-RUO instrument, Sheath Fluid PLUS, and INTELLIFLEX® onboard software for instrument control, which comes preloaded with the system and can be operated from the integrated PC on the instrument. The xMAP® INTELLIFLEX® instrument is operated and controlled using the onboard INTELLIFLEX® software. This software helps with plate setup, run monitoring, data visualization, and data transfer for analysis. The interface is intuitive and provides run monitoring via a data visualization carousel. System specifications can be found in Table 1.
The MILLIPLEX® Human Cytokine/Chemokine/Growth Factor Panel A was used in this study. It is a multiplex assay that combines tests for 48 individual immune factors and is the most versatile panel available for cytokine, chemokine, and growth factor research. The panel can simultaneously analyze up to 48 biomarkers using Luminex® technology, in human serum, plasma, and cell culture samples.
Methods
Samples
Normal and sepsis samples were used to measure cytokine levels over a range of concentrations relevant to basal and disease states. For serum samples, blood was allowed to clot for at least 30 minutes before centrifugation for 10 minutes at 1000 x g. Serum was removed and either assayed immediately or aliquoted and stored at -20°C or a lower temperature. Frozen samples were thawed completely, vortexed, and centrifuged prior to use, to remove particulates.
Immunoassay Protocol
The assay was conducted on a 96-well plate according to the protocol for MILLIPLEX® Human Cytokine/Chemokine/Growth Factor Panel A (Cat. No. HCYTA-60K-PX38). RANTES was not included in this assessment.
Learn more about MILLIPLEX® multiplex panels in our Overview of Luminex® Multiplex Assay Technology page.
Procedure
One 96-well plate was used with a set of standards, quality controls (QCs), healthy (n=7), and sepsis (n=7) samples all in duplicates. The other half of the 96-well plate was prepared in a similar manner. Each half of the plate (48 wells) was read on the Luminex® 200™ and xMAP® INTELLIFLEX® systems.
The following procedure was followed for the panel:
- Prewet 96-well plate with 200 µL wash buffer and decant
- Add 25 µL standard or sample (serum, plasma, cell culture, etc.)
- Add 25 µL assay buffer
- Add 25 µL bead mixture
- Shake overnight at 4°C or for 2 hours at room temperature
- Wash beads with wash buffer
- Add 25 µL detection antibody mixture; shake for 1 hour at room temperature
- Add 25 µL SAPE; shake for 30 minutes at room temperature
- Wash beads with wash buffer
- Add 150 µL Sheath Fluid PLUS and read on the Luminex® instruments
Multiplex Detection Results
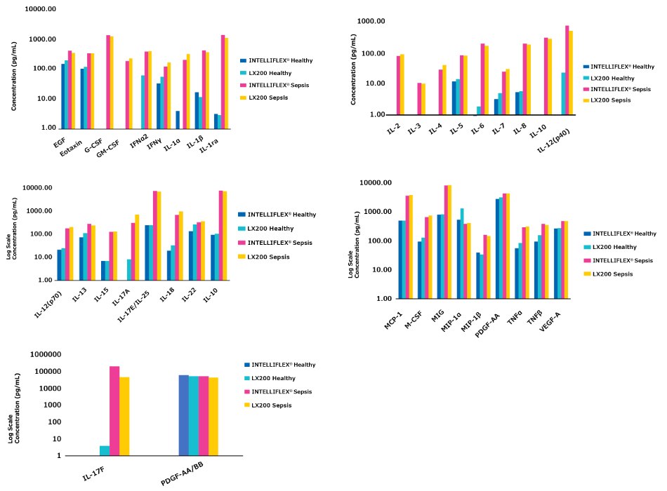
Using the MILLIPLEX® Human Cytokine/Chemokine/Growth Factor Panel A, cytokine, chemokine, and growth factor levels were measured in serum collected from normal and sepsis samples. Standard curve and QC data for IP-10, M-CSF, IL-15, MCP-1, and IL-17E are shown in Figure 1 and Table 2, and sample data for 37 analytes is shown in Figure 2.

Figure 1.Standard curves for 5 analytes showed reproducibility between the Luminex® 200™ (LX200) and xMAP® INTELLIFLEX® systems.

Figure 2.Sample concentration ranges generated for both normal and sepsis serum samples were comparable between the Luminex® 200™ and INTELLIFLEX® systems. All analytes were elevated in sepsis serum samples.
Summary
When measuring the progression of inflammation, it is important to simultaneously detect changes coming from multiple analytes at the same time from the same sample, which can be a limiting factor. The MILLIPLEX® Human Cytokine/Chemokine/Growth Factor Panel A is a multiplex assay that allows testing of up to 48 individual immune factors simultaneously, saving sample and time. Combined with the power of xMAP® technology, this gives the researcher a unique solution to generate meaningful high-quality data. The xMAP® INTELLIFLEX® system is a flow-based platform that comes with advanced features like a broader dynamic range (reporter 1, RP1) and a user-friendly interface. Here we have demonstrated the compatibility of our MILLIPLEX® assays with the INTELLIFLEX® system and the reproducibility of the data across different Luminex® platforms.
Materials
Instruments, Software, and Accessories
For Research Use Only. Not For Use In Diagnostic Procedures.
To continue reading please sign in or create an account.
Don't Have An Account?